DIFERENÇAS ENTRE O SISTEMA PRICE E SAC

Como funcionam os sistemas Price & SAC de financiamento

    O sistema de financiamento, por assim dizer, possui dois caminhos que o cliente pode escolher. E esses dois caminhos estão relacionados com a escolha da tabela de amortização nos financiamentos imobiliários.

 

   Basicamente, o sistema PRICE estabelece a amortização com as parcelas fixas. E o sistema SAC, por sua vez, estabelece a amortização com parcelas decrescentes.

 

   Cada uma delas possui vantagens e desvantagens. Por isso, entender como elas funcionam ajuda você a tomar o caminho mais vantajoso, ou seja, aquele que se encaixa melhor no seu perfil ou na sua conjuntura financeira quando você se prepara para um financiamento a longo prazo.

 

   A seguir, vamos explicar como funciona as duas amortizações, a SAC e a PRICE. Veja a seguir.

 

   O que é amortização?

  

   A amortização é a fatia da sua parcela que, de fato, é descontada do valor da sua dívida. Ao tomar um dinheiro emprestado, aquele que empresta ou credor cobra os juros, os seguros e os custos de administração.

price-sac-como-calcular

   E o sistema de amortização constante ou SAC, como funciona?

  

   Como o próprio nome diz, no sistema de amortização constante ou SAC, a amortização é fixa. Ou seja, o valor abatido da dívida mensalmente é o mesmo do começo ao fim do financiamento.

 

   O nome, porém, pode gerar confusão, pois a amortização é constante, mas o valor das parcelas, não. Ou seja, o valor dos juros cobrados em cada parcela é calculado em cima do saldo devedor, diminuindo a cada mês. Por isso, no SAC, as parcelas vão diminuindo ao longo do tempo, como mostra o exemplo a seguir.

 

Veja na prática um exemplo de financiamento SAC

 

   Em um financiamento imaginário no valor de R$ 10 mil com 4% de juros ao mês, pago em 4 parcelas no sistema SAC, as parcelas ficariam da seguinte forma: 

 

   A amortização é constante nos 4 meses: R$2500,00.

 

   A primeira parcela é composta da amortização de R$ 2500 + os juros calculados com base no saldo devedor (4% de R$ 10 mil). R$ 2500 + R$ 400 = R$ 2900,00.

taxa-evolucao

   Na segunda parcela, a amortização permanece constante, porém os juros são calculados com base no novo saldo devedor (4% de R$ 7500,00). R$ 2500 + R$ 300 = R$ 2800. E assim por diante.

  

   Assim, apesar da amortização em cada período ser constante, os juros são calculados com base no saldo devedor que, cada vez menor, geram parcelas gradualmente menores, ou seja, não constantes.

 

   Como funciona o sistema de amortização PRICE

 

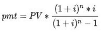
  O sistema PRICE de amortização usa o regime de juros compostos para calcular o valor das parcelas de um empréstimo e, dessa parcela, há uma proporção relativa ao pagamento de juros e amortização do valor emprestado em cada período.
 
    As parcelas, dessa forma, ficam fixas. Entretando, esse sistema se caracteriza numa forma de amortização em que a maior parte da primeira prestação é composta por juros. Durante o financiamento, o valor pago em juros diminui e o valor pago em amortização aumenta, sem que o valor da parcela se altere.

 

  Veja na prática um exemplo de amortização PRICE

 
   Tomemos como exemplo um empréstimo de R$ 10 000,00 com taxa de juros de 4% ao mês a ser pago em 4 parcelas mensais. Para se calcular o valor da parcela, deve-se usar a fórmula de juros compostos combinada com a da progressão geométrica, resultando em:

 

sistema-sac

 

   Onde:

  • pmt: Valor da parcela (do inglês payment);

  • PV: Valor presente (do inglês Present Value);

  • i: Taxa de juros (do inglês Interest Rate);

  • n: Número de períodos.

 

   Tomemos como exemplo um empréstimo de R$ 10 000,00 com taxa de juros de 4% ao mês a ser pago em 4 parcelas mensais. Para se calcular o valor da parcela, deve-se usar a fórmula de juros compostos combinada com a da progressão geométrica. Assim, temos:

   

price-sac-como-calcular
   Observe que as parcelas, para quem tomou emprestado no exemplo acima utilizando o sistema PRICE, não mudaram. Da mesma forma, os juros começaram com o valor de R$400,00 na primeira parcela e terminaram com participação na última parcela de apenas R$105,96. Por outro lado, a amortização, que começou com valor de R$ 2 354,90, na última parcela aumentou para R$ 2 648,94.

 

 

   COMPARAÇÃO ENTRE AS DUAS FORMAS DE FINANCIAMENTO

 

 

    Comparando os dois modelos de empréstimo, do nosso exemplo acima, o sistema PRICE, para o consumidor, cobrará parcelas menores no início do processo, ou seja, parcelas de R$ 2 754,90, quando comparamos com o exemplo de financiamento no sistema SAC, com parcela incial de R$ 2 900,00. Assim, para o tomador de empréstimo que pode emprestar apenas R$ 2 800,00, em função da sua renda, a opção que lhe resta é apenas o sistema PRICE, mesmo que o valor emprestado seja o mesmo que o do sistema SAC. Assim, o sistema PRICE permite aos bancos emprestarem mais, mesmo que a parcela não "agrade" ao consumidor que a tem como valor fixo.

 

   Fonte: Wikipedia

 

 Veja as outras matérias que fizemos sobre o assunto.

 

  •    Taxa de evolução de obra: saiba o que é e o porquê ela é cobrada;
  •    Saiba mais sobre crédito imobiliário na Caixa e FGTS;    
  •    Programa minha casa minha vida: como funciona?
  •    Feirão da Caixa 2021;
  •   Saiba mais sobre como financiar e realizar seu cadastro;
  •    Saiba mais sobre quanto custa um apê em São Paulo. 

 

  Saiba mais sobre a Imóveis Cardoso aqui.

Compartihe nas redes sociais

noticias-mercado-imoveis

Notícias e novidades que você procura antes de comprar seu apartamento

 programa-casa-verde-amarela

Programa minha casa minha vida

O PMCMV foil lançado em 2009 com o objetivo de proporcionar ao cidadão brasileiro condições de acesso à moradia própria, tanto em áreas urbanas, quanto rural.

analise-credito-cadastro-fgts

Crédito imobilário e FGTS

   Que tal você escolher as melhores mudas para o seu jardim e você saber agendar as melhores épocas para tirar as ervas daninhas? Veja tudo isso nesse artigo incrível.

 edificio-em-construcao

Taxa de evolução da obra

   Saiba o que é e como se calcula a taxa de evolução de obra antes mesmo de realizar a sua compra do imóvel na planta!

 saiba-mais-qto-custa-ape-sp

 Quanto custa um apê em São Paulo

   Saiba mais sobre quanto custa um apê em São Paulo, capital.

imoveis-cardosoIMÓVEIS CARDOSO

  A Imóveis Cardoso oferece apartamentos e casas na planta, em construção ou pronto para morar direto com a construtora ou de parceiros. Também oferecemos consultoria imobiliária para lhe oferecer as melhores vantagens do mercado. Consulte nossos corretores.

TERMOS E POLÍTICAS

  •  Política de privacidade

SIGA-NOS NAS MÍDIAS

imoveis-cardoso-facebookimoveis-cardoso-instagramimoveis-cardoso-youtubeimoveis-cardoso-pinterest

SIMULADORES DE CRÉDITO

 simulador-credito-caixa-economica-federal  simulador-credito-itau simulador-credito-santander simulador-credito-banco-do-brasil simulador-credito-bradesco simulador-credito-banese

(C) 2020-2021 Imoveiscardoso.com.br - Apartamentos na planta em São Paulo e região CRECI: 227906